学生通讯员:肖瑶
近日,理学院王继宇教授团队在国际Top学术期刊Organic Letters(中科院一区,IF = 4.9)上发表题为《Fe(III)-Catalyzed Ring Expansion of Cyclopropenone from Olefins via Radicals to Access Pyrone and Indanone Derivatives》的研究论文,且被评为当期封面文章并进行亮点介绍。王继宇教授为论文通讯作者,西华大学硕士研究生肖瑶为论文第一作者,西华大学为该论文的第一完成单位。

论文截图

论文被评为当期封面文章并进行亮点介绍
吡喃酮是一类重要天然产物的核心结构,Fostriecin、Cytostatin、Anguinomycin、Pironetin等,该类化合物具有广泛的生物活性,包括抗肿瘤活性,磷酸酶抑制性,抗增殖活性,抗微生物活性。此外,茚酮类化合物也具有一定生物活性,一些茚酮化合物已被开发为药物,如用于治疗阿尔茨海默病的Donepezi、用作降压药物的Indanocine。目前对于这两种化合物的合成方法多有报道,但依然存在步骤繁琐、成本昂贵等不足之处。
还原自由基策略在C−C键的构建中起着重要作用,基于作者前期的工作基础,作者感兴趣能否通过该策略实现自由基对张力环的扩环反应。作者设计了Fe催化的非活化烯烃对环丙烯酮的扩环反应,合成了一系列结构新颖的吡喃酮和茚酮衍生物。
作者以2,3-二苯基环丙-2-烯酮和2-甲基-2-丙烯-1-醇作为模板底物,对该反应的催化剂,还原剂,溶剂,温度和时间进行筛选,进而确定了最佳的反应条件为:2,3-二苯基环丙-2-烯酮与2-甲基-2-丙烯-1-醇投料比为1:3,以30 mol%的乙酰丙酮铁为催化剂,2 equiv的苯硅烷为还原剂,乙醇做溶剂,于60度的油浴锅中反应24小时,反应收率为78 %。产物结构通过1H NMR,13C NMR,HR-MS、XRD进行了确认。
该反应表现出良好的底物普适性。各种环状烯丙醇和具有不同取代基的烯丙醇,包括甲基、卤素、芳环,以中等到优异的收率下得到目标化合物。反应也兼容不同的环丙烯酮,各种取代的二苯基环丙烯酮、单边苯基环丙烯酮、单边烷基环丙烯酮顺利生成了不同的吡喃酮分子(图1)。同时,当反应底物变为烯烃时,各种不同取代基的烯烃,如苯基、烷基或环烷基,反应均能顺利发生,以中等到良好的收率得到茚酮化合物(图2)。

吡喃酮的底物扩展

茚酮的底物扩展
在模板条件下,作者使用香茅醇和松油醇作为自由基前体与环丙烯酮反应,也可以获得茚酮化合物。这一过程表明,该方法可以为具有类似结构的天然产物或药物的后修饰提供一个新思路。此外,合成的茚酮化合物可以方便地转化为相应的茚醇和全取代的茚醇衍生物。
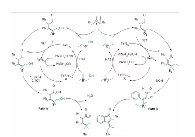
最后,作者根据控制实验和相关文献提出了一个可能的机理(图3)。其机制主要包括氢原子转移、自由基串联、脱水缩合和Friedel-Crafts酰基化过程。

可能的机理
综上所述,作者开发了一种Fe(III)催化的环丙烯酮和受体烯烃的自由基扩环策略,构建了一系列新型的2H-吡喃酮和完全取代的1-茚酮。作者还提出了可能的机理:氢原子转移形成烷基自由基,自由基打开环丙烯酮的三元环,生成中间体。中间体有两条反应途径:当烯烃的β位有一个羟基时,反应生成2H-吡喃酮,否则生成1-茚酮。该方法具有反应条件温和,底物适应性广,原料便宜易得等优点。
该研究得到了四川省高等教育研究院绿色催化重点实验室开放项目(编号:LYJ2405)的支持。
作者介绍:
王继宇教授:西华大学理学院化学系教师,中国科学院大学有机化学博士,硕士生导师,四川省海外高层次留学人才、四川省专家服务团专家、成都市特聘专家。2013年至2014年在美国科罗拉多州立大学化学系博士后,师从美国Cope奖获得者Robert M. Williams,从事天然产物全合成工作。目前,主要从事通过自由基构建碳碳键和碳杂键、绿色合成化学及有机功能分子的设计与性能研究、两亲性分子的结构设计与性能研究等方面的研究工作。近年来,以项目负责人的身份完成纵横向合作项目总金额超1000万元。在Organic Letters、Chemical Communication、Organic Chemistry Frontiers、Advanced Synthesis & Catalysis、Journal of Organic Chemistry、Organic & Biomolecular Chemistry等国际国内期刊发表文章近50篇,申请中国发明专利30余项,授权中国发明专利15项,已培养毕业有机化学专业博士研究生8人,硕士研究生6人,目前在读硕士研究生6人。

